欢迎来到2025新老澳门原料!
18011593992

产品中心

2025新老澳门原料
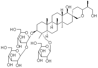
凤仙萜四醇皂苷A Hosenkoside A
请询价 20mg
2025新老澳门原料
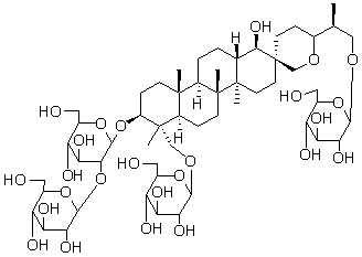
凤仙萜四醇皂苷K Hosenkoside K
请询价 20mg