欢迎来到2025新老澳门原料!
18011593992

产品中心

2025新老澳门原料
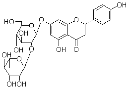
柚皮苷 Naringin
请询价 20mg