欢迎来到2025新老澳门原料!
18011593992

产品中心

2025新老澳门原料
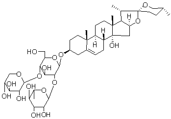
14α-羟基Sprengerinin C 14α-hydroxy Sprengerinin C
请询价 1mg