欢迎来到2025新老澳门原料!
18011593992

产品中心

2025新老澳门原料
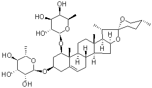
山麦冬皂苷B Liriopesides B
请询价 1mg