欢迎来到2025新老澳门原料!
18011593992

产品中心

2025新老澳门原料
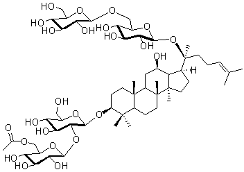
西洋参皂苷R1 Quinquenoside R1
请询价 10mg