欢迎来到2025新老澳门原料!
18011593992

产品中心

2025新老澳门原料
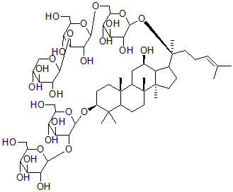
人参皂苷Ra3 Ginsenoside Ra3
请询价 20mg