欢迎来到2025新老澳门原料!
18011593992

产品中心

2025新老澳门原料
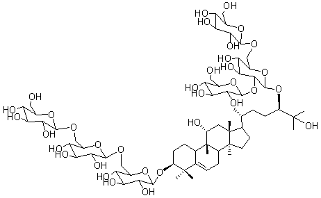
罗汉果皂苷VI A Mogroside VI A
请询价 5mg