欢迎来到2025新老澳门原料!
18011593992

产品中心

2025新老澳门原料
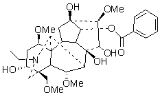
苯甲酰乌头原碱 Benzoylaconine
请询价 20mg