欢迎来到2025新老澳门原料!
18011593992

产品中心

2025新老澳门原料
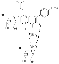
朝藿苷丙 Epimedin I
请询价 5mg