欢迎来到2025新老澳门原料!
18011593992

产品中心

2025新老澳门原料
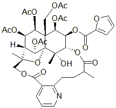
雷公藤吉碱 Wilforgine
请询价 10mg